11. Schrödinger to Einstein

Zürich

23 April 1926

My dear Professor,

My hearty thanks for your extremely kind letter of the 16th. Your approval and Planck’s mean more to me than that of half the world. Besides, the whole thing would certainly not have originated yet, and perhaps never would have, (I mean, not from me), if I had not had the importance of de Broglie’s ideas really brought home to me by your second paper on gas degeneracy.10

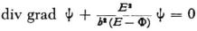
The objection in your last letter makes me even happier. It is based on an error in memory. The equation

img12

is not mine, as a matter of fact, but my equation really runs exactly like the one that you constructed free hand from the two requirements of the “additivity” of the quantum levels and the non-appearance of the absolute value of the energy:

img13

Your very basic requirements are therefore fulfilled. I am, moreover, very grateful for this error in memory because it was through your remark that I first became consciously aware of an important property of the formal apparatus. Besides, one’s confidence in a formulation always increases if one—and especially if you—construct the same thing afresh from a few fundamental requirements.

Just recently I read with the greatest interest your proposal in Naturwissenschaften for a new coherence experiment.11 I have not yet finished thinking it over. That always takes me rather long. I am not completely sure how you conceive of the arrangement behind the grating. (“Behind the grating the light will be made parallel by means of another lens …”) I imagine the wire grating at the focus of this farther lens and then perhaps a Fabry-Perot interferometer (plane parallel layer of air, rings of equal inclination). Then one would usually say: each point of the light source corresponds to a point of the circular image. The grating is the light source. Then the light beams from different slits of the grating would really not interfere with one another. But, according to the classical theory, we have here the unique situation that different points of the light source vibrate coherently in a legitimate way. I have not yet made clear to myself how that works out. But maybe the arrangement, as I continue to think about it, is also stupid.

I very much enjoyed your delightful explanation of the formation of meanders.12 It just happens that my wife had asked me about the “teacup phenomenon”13 a few days earlier, but I did not know a rational explanation. She says that she will never stir her tea again without thinking of you.

Kindest regards from

Yours faithfully,

E. Schrödinger

If you find an error or have any questions, please email us at admin@erenow.org. Thank you!