6
Just ten years ago, during the Asian Crisis of 1997-8, it was conventional wisdom that financial crises were more likely to happen on the periphery of the world economy - in the so-called emerging markets (formerly known as less developed countries) of East Asia or Latin America. Yet the biggest threats to the global financial system in this new century have come not from the periphery but from the core. In the two years after Silicon Valley’s dot-com bubble peaked in August 2000, the US stock market fell by almost half. It was not until May 2007 that investors in the Standard & Poor’s 500 had recouped their losses. Then, just three months later, a new financial storm blew up, this time in the credit market rather than the stock market. As we have seen, this crisis also originated in the United States as millions of American households discovered they could not afford to service billions of dollars’ worth of subprime mortgages. There was a time when American crises like these would have plunged the rest of the global financial system into recession, if not depression. Yet at the time of writing Asia seems scarcely affected by the credit crunch in the US. Indeed, some analysts like Jim O’Neill, Head of Global Research at Goldman Sachs, say the rest of the world, led by booming China, is ‘decoupling’ itself from the American economy.
If O’Neill is correct, we are living through one of the most astonishing shifts there has ever been in the global balance of financial power; the end of an era, stretching back more than a century, when the financial tempo of the world economy was set by English-speakers, first in Britain, then in America. The Chinese economy has achieved extraordinary feats of growth in the past thirty years, with per capita GDP increasing at a compound annual growth rate of 8.4 per cent. But in recent times the pace has, if anything, intensified. When O’Neill and his team first calculated projections of gross domestic product for the so-called BRICs (Brazil, Russia, India and China, or Big Rapidly Industrializing Countries), they envisaged that China could overtake the United States in around 2040.1 Their most recent estimates, however, have brought the date forward to 2027.2 The Goldman Sachs economists do not ignore the challenges that China undoubtedly faces, not least the demographic time bomb planted by the Communist regime’s draconian one-child policy and the environmental consequences of East Asia’s supercharged industrial revolution.3 They are aware, too, of the inflationary pressures in China, exemplified by soaring stock prices in 2007 and surging food prices in 2008. Yet the overall assessment is still strikingly positive. And it implies, quite simply, that history has changed direction in our lifetimes.
Three or four hundred years ago there was little to choose between per capita incomes in the West and in the East. The average North American colonist, it has been claimed, had a standard of living not significantly superior to that of the average Chinese peasant cultivator. Indeed, in many ways the Chinese civilization of the Ming era was more sophisticated than that of early Massachusetts. Beijing, for centuries the world’s largest city, dwarfed Boston, just as Admiral Zheng He’s early-fifteenth-century treasure ship had dwarfed Christopher Columbus’s Santa Maria. The Yangtze delta seemed as likely a place as the Thames Valley to produce major productivity-enhancing technological innovations.4 Yet between 1700 and 1950 there was a ‘great divergence’ of living standards between East and West. While China may have suffered an absolute decline in per capita income in that period, the societies of the North West - in particular Britain and its colonial offshoots - experienced unprecedented growth thanks, in large part, to the impact of the industrial revolution. By 1820 per capita income in the United States was roughly twice that of China; by 1870, nearly five times higher; by 1913 nearly ten times; by 1950 nearly twenty-two times. The average annual growth rate of per capita GDP in the United States was 1.57 per cent between 1820 and 1950. The equivalent figure for China was -0.24 per cent.5 In 1973 the average Chinese income was at best one twentieth of the average American. Calculated in terms of international dollars at market exchange rates, the differential was even wider. As recently as 2006, the ratio of US to Chinese per capita income by this measure was still 22.9 to 1.
What went wrong in China between the 1700s and the 1970s? One argument is that China missed out on two major macroeconomic strokes of good luck that were indispensable to the North-West’s eighteenth-century take-off. The first was the conquest of the Americas and particularly the conversion of the islands of the Caribbean into sugar-producing colonies, ‘ghost acres’ which relieved the pressure on a European agricultural system that might otherwise have suffered from Chinese-style diminishing returns. The second was the proximity of coalfields to locations otherwise well suited for industrial development. Besides cheaper calories, cheaper wood and cheaper wool and cotton, imperial expansion brought other unintended economic benefits, too. It encouraged the development of militarily useful technologies - clocks, guns, lenses and navigational instruments - that turned out to have big spin-offs for the development of industrial machinery.6 Many other explanations have, needless to say, been offered for the great East-West divergence: differences in topography, resource endowments, culture, attitudes towards science and technology, even differences in human evolution.7 Yet there remains a credible hypothesis that China’s problems were as much financial as they were resource-based. For one thing, the unitary character of the Empire precluded that fiscal competition which proved such a driver of financial innovation in Renaissance Europe and subsequently. For another, the ease with which the Empire could finance its deficits by printing money discouraged the emergence of European-style capital markets.8 Coinage, too, was more readily available than in Europe because of China’s trade surplus with the West. In short, the Middle Kingdom had far fewer incentives to develop commercial bills, bonds and equities. When modern financial institutions finally came to China in the late nineteenth century, they came as part of the package of Western imperialism and, as we shall see, were always vulnerable to patriotic backlashes against foreign influence.9
Globalization, in the sense of a rapid integration of international markets for commodities, manufactures, labour and capital, is not a new phenomenon. In the three decades before 1914, trade in goods reached almost as large a proportion of global output as in the past thirty years.10 In a world of less regulated borders, international migration was almost certainly larger relative to world population; more than 14 per cent of the US population was foreign born in 1910 compared with less than 12 per cent in 2003.11 Although, in gross terms, stocks of international capital were larger in relation to global GDP during the 1990s than they were a century ago, in net terms the amounts invested abroad - particularly by rich countries in poor countries - were much larger in the earlier period.12 Over a century ago, enterprising businessmen in Europe and North America could see that there were enticing opportunities throughout Asia. By the middle of the nineteenth century, the key technologies of the industrial revolution could be transferred anywhere. Communication lags had been dramatically reduced thanks to the laying of an international undersea cable network. Capital was abundantly available and, as we shall see, British investors were more than ready to risk their money in remote countries. Equipment was affordable, energy available and labour so abundant that manufacturing textiles in China or India ought to have been a hugely profitable line of business.13 Yet, despite the investment of over a billion pounds of Western funds, the promise of Victorian globalization went largely unfulfilled in most of Asia, leaving a legacy of bitterness towards what is still remembered to this day as colonial exploitation. Indeed, so profound was the mid-century reaction against globalization that the two most populous Asian countries ended up largely cutting themselves off from the global market from the 1950s until the 1970s.
Moreover, the last age of globalization had anything but a happy ending. On the contrary, less than a hundred years ago, in the summer of 1914, it ended not with a whimper, but with a deafening bang, as the principal beneficiaries of the globalized economy embarked on the most destructive war the world had ever witnessed. We think we know why international capital failed to produce self-sustaining growth in Asia before 1914. But was there also some connection between the effects of global economic integration and the outbreak of the First World War? It has recently been suggested that the war should be understood as a kind of backlash against globalization, heralded by rising tariffs and immigration restrictions in the decade before 1914, and welcomed most ardently by Europe’s agrarian elites, whose position had been undermined for decades by the decline in agricultural prices and emigration of surplus rural labour to the New World.14 Before blithely embracing today’s brave, new and supposedly ‘post-American’ world,15 we must be sure that similar unforeseen reactions could not pull the geopolitical rug out from under the latest version of globalization.
Globalization and Armageddon
It used to be said that emerging markets were the places where they had emergencies. Investing in far-away countries could make you rich but, when things went wrong, it could be a fast track to financial ruin. As we saw in Chapter 2, the first Latin American debt crisis happened as long ago as the 1820s. It was another emerging market crisis, in Argentina, that all but bankrupted the house of Baring in 1890, just as it was a rogue futures trader in Singapore, Nick Leeson, who finally finished Barings off 105 years later. The Latin American debt crisis of the 1980s and the Asian crisis of the 1990s were scarcely unprecedented events. Financial history suggests that many of today’s emerging markets would be better called re-emerging markets.az These days, the ultimate re-emerging market is China. According to Sinophile investors like Jim Rogers, there is almost no limit to the amount of money to be made there.16 Yet this is not the first time that foreign investors have poured money into Chinese securities, dreaming of the vast sums to be made from the world’s most populous country. The last time around, it is worth remembering, they lost as many shirts as Hong Kong’s famous tailors can stitch together in a month.
The key problem with overseas investment, then as now, is that it is hard for investors in London or New York to see what a foreign government or an overseas manager is up to when they are an ocean or more away. Moreover, most non-Western countries had, until quite recently, highly unreliable legal systems and differing accounting rules. If a foreign trading partner decided to default on its debts, there was little that an investor situated on the other side of the world could do. In the first era of globalization, the solution to this problem was brutally simple but effective: to impose European rule.
William Jardine and James Matheson were buccaneering Scotsmen who had set up a trading company in the southern Chinese port of Guangzhou (then known as Canton) in 1832. One of their best lines of business was importing government-produced opium from India. Jardine was a former East India Company surgeon, but the opium he was bringing into China was for distinctly non-medicinal purposes. This was a practice that the Emperor Yongzheng had prohibited over a century before, in 1729, because of the high social costs of opium addiction. On 10 March 1839 an imperial official named Lin Zexu arrived in Canton under orders from the Daoguang Emperor to stamp out the trade once and for all. Lin blockaded the Guangzhou opium godowns (warehouses) until the British merchants acceded to his demands. In all, around 20,000 chests of opium valued at £2 million were surrendered. The contents were adulterated to render it unusable and literally thrown in the sea. 17 The Chinese also insisted that henceforth British subjects in Chinese territory should submit to Chinese law. This was not to Jardine’s taste at all. Known to the Chinese as ‘Iron-Headed Old Rat’, he was in Europe during the crisis and hastened to London to lobby the British government. After three meetings with the Foreign Secretary, Viscount Palmerston, Jardine seems to have persuaded him that a show of strength was required, and that ‘the want of power of their war junks’ would ensure an easy victory for a ‘sufficient’ British force. On 20 February 1840 Palmerston gave the order. By June 1840 all the naval preparations were complete. The Qing Empire was about to feel the full force of history’s most successful narco-state: the British Empire.

‘Iron-Headed Old Rat’: William Jardine, co-founder of
Jardine, Matheson
Just as Jardine had predicted, the Chinese authorities were no match for British naval power. Guangzhou was blockaded; Chusan (Zhoushan) Island was captured. After a ten-month stand off, British marines seized the forts that guarded the mouth of the Pearl River, the waterway between Hong Kong and Guangzhou. Under the Convention of Chuenpi, signed in January 1841 (but then repudiated by the Emperor), Hong Kong became a British possession. The Treaty of Nanking, signed a year later after another bout of one-sided fighting, confirmed this cession and also gave free rein to the opium trade in five so-called treaty ports: Canton, Amoy (Xiamen), Foochow (Fuzhou), Ningbo and Shanghai. According to the principle of extraterritoriality, British subjects could operate in these cities with complete immunity from Chinese law.

James Matheson, Jardine’s partner in the opium trade
For China, the first Opium War ushered in an era of humiliation. Drug addiction exploded. Christian missionaries destabilized traditional Confucian beliefs. And in the chaos of the Taiping Rebellion - a peasant revolt against a discredited dynasty led by the self-proclaimed younger brother of Christ - between 20 and 40 million people lost their lives. But for Jardine and Matheson, who hastened to acquire land in Hong Kong and soon moved their head office to the island’s East Point, the glory days of Victorian globalization had arrived. Jardine’s Lookout, one of the highest points on Hong Kong island, was where the company used to keep a watchman permanently stationed, to spy the sails of the firm’s clippers as they sailed in from Bombay, Calcutta or London. As Hong Kong flourished as an entrepôt, opium soon ceased to be the company’s sole line of business. By the early 1900s Jardine, Matheson had its own breweries, its own cotton mills, its own insurance company, its own ferry company and even its own railways, including the Kowloon to Canton line, built between 1907 and 1911.
Back in London, an investor had myriad foreign investment opportunities open to him. Nothing illustrates this better than the ledgers of N. M. Rothschild & Sons, which reveal the extraordinary array of securities that the Rothschild partners held in their multi-million-pound portfolio. A single page lists no fewer than twenty different securities, including bonds issued by the governments of Chile, Egypt, Germany, Hungary, Italy, Japan, Norway, Spain and Turkey, as well as securities issued by eleven different railways, among them four in Argentina, two in Canada and one in China.18Nor was it only members of the rarefied financial elite who could engage in this kind of international diversification. As early as 1909, for the modest outlay of 2s 6d, British investors could buy Henry Lowenfeld’s book Investment: An Exact Science, which recommended ‘a sound system of averages, based upon the Geographical Distribution of Capital’ as a means of ‘reduc[ing] to a minimum the taint of speculation from the act of investment’.19 As Keynes later recalled, in a justly famous passage in his Economic Consequences of the Peace, it required scarcely any effort for a Londoner of moderate means to ‘adventure his wealth in the natural resources and new enterprises of any quarter of the world, and share, without exertion or even trouble, in their prospective fruits and advantages’.20
At that time there were around forty foreign stock exchanges scattered throughout the world, of which seven were regularly covered in the British financial press. The London Stock Exchange listed bonds issued by fifty-seven sovereign and colonial governments. Following the money from London to the rest of the world reveals the full extent of this first financial globalization. Around 45 per cent of British investment went to the United States, Canada and the Antipodes, 20 per cent to Latin America, 16 per cent to Asia, 13 per cent to Africa and 6 per cent to the rest of Europe.21If you add together all the British capital raised through public issues of securities between 1865 and 1914, you see that the majority went overseas; less than a third was invested in the United Kingdom itself.22 By 1913 an estimated $158 billion in securities were in existence worldwide, of which around $45 billion (28 per cent) were internationally held. Of all the securities quoted on the London Stock Exchange in 1913 nearly half (48 per cent) were foreign bonds.23 Gross foreign assets in 1913 were equivalent to around 150 per cent of UK GDP and the annual current account surplus rose as high as 9 per cent of GDP in 1913 - evidence of what might now be called a British savings glut. Significantly, a much higher proportion of pre-1914 capital export went to relatively poor countries than has been the case more recently. In 1913, 25 per cent of the world’s stock of foreign capital was invested in countries with per capita incomes of a fifth or less of US per capita GDP; in 1997 the proportion was just 5 per cent.24
It may be that British investors were attracted to foreign markets simply by the prospect of higher returns in capital-poor regions.25 It may be that they were encouraged by the spread of the gold standard, or by the increasing fiscal responsibility of foreign governments. Yet it is hard to believe there would have been so much overseas investment before 1914 had it not been for the rise of British imperial power. Somewhere between two fifths and half of all this British overseas investment went to British-controlled colonies. A substantial proportion also went to countries like Argentina and Brazil over which Britain exercised considerable informal influence. And British foreign investment was disproportionately focused on assets that increased London’s political leverage: not only government bonds but also the securities issued to finance the construction of railways, port facilities and mines. Part of the attraction of colonial securities was the explicit guarantees some of them carried.26 The Colonial Loans Act (1899) and the Colonial Stock Act (1900) also gave colonial bonds the same trustee status as the benchmark British government perpetual bond, the consol, making them eligible investments for Trustee Savings Banks.27 But the real appeal of colonial securities was implicit rather than explicit.
The Victorians imposed a distinctive set of institutions on their colonies that was very likely to enhance their appeal to investors. These extended beyond the Gladstonian trinity of sound money, balanced budgets and free trade to include the rule of law (specifically, British-style property rights) and relatively non-corrupt administration - among the most important ‘public goods’ of late-nineteenth-century liberal imperialism. Debt contracts with colonial borrowers were, quite simply, more likely to be enforceable than those with independent states. This was why, as Keynes later noted, ‘Southern Rhodesia - a place in the middle of Africa with a few thousand white inhabitants and less than a million black ones - can place an unguaranteed loan on terms not very different from our own [British] War Loan’, while investors could prefer ‘Nigeria stock (which has no British Government guarantee) [to] . . . London and North-Eastern Railway debentures’.28 The imposition of British rule (as in Egypt in 1882) practically amounted to a ‘no default’ guarantee; the only uncertainty investors had to face concerned the expected duration of British rule. Before 1914, despite the growth of nationalist movements in possessions as different as Ireland and India, political independence still seemed a distinctly remote prospect for most subject peoples. At this point even the major colonies of white settlement had been granted only a limited political autonomy. And no colony seemed further removed from gaining its independence than Hong Kong.
Between 1865 and 1914 British investors put at least £74 million into Chinese securities, a tiny proportion of the total £4 billion that they held abroad by 1914, but a significant sum for impoverished China.29 No doubt it reassured investors that, from 1854, Britain not only ruled Hong Kong as a crown colony but also controlled the entire Chinese system of Imperial Maritime Customs, ensuring that at least a portion of the duties collected at China’s ports was earmarked to pay the interest on British-owned bonds. Yet even in the European quarters of the so-called treaty ports, where the Union Jack fluttered and the taipan sipped his gin and tonic, there were dangers. No matter how tightly the British controlled Hong Kong, they could do nothing to prevent China from becoming embroiled first in a war with Japan in 1894-5, then in the Boxer Rebellion of 1900 and finally in the revolution that overthrew the Qing dynasty in 1911 - a revolution partly sparked by widespread Chinese disgust at the extent of foreign domination of their economy. Each of these political upheavals hit foreign investors where it hurts them the most: in their wallets. Much as happened in later crises - the Japanese invasion of 1941 or, for that matter, the Chinese takeover in 1997 - investors in Hong Kong saw steep declines in the value of their Chinese bonds and stocks.30 This vulnerability of early globalization to wars and revolutions was not peculiar to China. It turned out to be true of the entire world financial system.
The three decades before 1914 were golden years for international investors - literally. Communications with foreign markets dramatically improved: by 1911, a telegraphic message took just thirty seconds to travel from New York to London, and the cost of sending it was a mere 0.5 per cent of the 1866 level. Europe’s central banks had nearly all committed themselves to the gold standard by 1908; that meant that they nearly all had to target their gold reserves, raising rates (or otherwise intervening) if they experienced a specie outflow. At the very least, this simplified life for investors, by reducing the risk of large exchange rate fluctuations.31 Governments around the world also seemed to be improving their fiscal positions as the deflation of the 1870s and 1880s gave way to gentle inflation from the mid 1890s, which reduced debt burdens in real terms. Higher growth also raised tax revenues.32 Long-term interest rates nevertheless remained low. Although the yield on the benchmark British consol rose by over a percentage point between 1897 and 1914, that was from an all-time nadir of 2.25 per cent. What we would now call emerging market spreads narrowed dramatically, despite major episodes of debt default in the 1870s and 1890s. With the exception of securities issued by improvident Greece and Nicaragua, none of the sovereign or colonial bonds that were traded in London in 1913 yielded more than two percentage points above consols, and most paid considerably less. That meant that anyone who had bought a portfolio of foreign bonds in, say, 1880 had enjoyed handsome capital gains.33
The yields and volatility of the bonds of the other great powers, which accounted for about half the foreign sovereign debt quoted in London, also declined steadily after 1880, suggesting that political risk premiums were falling too. Before 1880, Austrian, French, German and Russian bonds had tended to fluctuate quite violently in response to political news; but the various diplomatic alarums and excursions of the decade before 1914, like those over Morocco and the Balkans, caused scarcely a tremor in the London bond market. Although the UK stock market remained fairly flat following the bursting of the 1895-1900 Kaffir (gold mine) bubble, the volatility of returns trended downwards. There is at least some evidence to connect these trends with a long-run rise in liquidity, due partly to increased gold production and, more importantly, to financial innovation, as joint-stock banks expanded their balance sheets relative to their reserves, and savings banks successfully attracted deposits from middle-class and lower-class households.34
All these benign economic trends encouraged optimism. To many businessmen - from Ivan Bloch in Tsarist Russia to Andrew Carnegie in the United States - it was self-evident that a major war would be catastrophic for the capitalist system. In 1898 Bloch published a massive six-volume work entitled The Future of War which argued that, because of technological advances in the destructiveness of weaponry, war essentially had no future. Any attempt to wage it on a large scale would end in ‘the bankruptcy of nations’.35 In 1910, the same year that Carnegie established his Endowment for International Peace, the left-leaning British journalist Norman Angell published The Great Illusion, in which he argued that a war between the great powers had become an economic impossibility precisely because of ‘the delicate interdependence of our credit-built finance’.36 In the spring of 1914 an international commission published its report into the outrages committed during the Balkan Wars of 1912-13. Despite the evidence he and his colleagues confronted of wars waged à l’outrance between entire populations, the commission’s chairman noted in his introduction that the great powers of Europe (unlike the petty Balkan states) ‘had discovered the obvious truth that the richest country has the most to lose by war, and each country wishes for peace above all things’. One of the British members of the commission, Henry Noel Brailsford - a staunch supporter of the Independent Labour Party and author of a fierce critique of the arms industry (The War of Steel and Gold) - declared:
In Europe the epoch of conquest is over and save in the Balkans and perhaps on the fringes of the Austrian and Russian empires, it is as certain as anything in politics that the frontiers of our national states are finally drawn. My own belief is that there will be no more wars among the six great powers. 37
Financial markets had initially shrugged off the assassination by Gavrilo Princip of the heir to the Austrian throne, the Archduke Franz Ferdinand, in the Bosnian capital Sarajevo on 28 June 1914. Not until 22 July did the financial press express any serious anxiety that the Balkan crisis might escalate into something bigger and more economically threatening. When investors belatedly grasped the likelihood of a full-scale European war, however, liquidity was sucked out of the world economy as if the bottom had dropped out of a bath. The first symptom of the crisis was a rise in shipping insurance premiums in the wake of the Austrian ultimatum to Serbia (which demanded, among other things, that Austrian officials be allowed into Serbia to seek evidence of Belgrade’s complicity in the assassination). Bond and stock prices began to slip as prudent investors sought to increase the liquidity of their positions by shifting into cash. European investors were especially quick to start selling their Russian securities, followed by Americans. Exchange rates went haywire as a result of efforts by cross-border creditors to repatriate their money: sterling and the franc surged, while the ruble and dollar slumped.38 By 30 July panic reigned on most financial markets.39 The first firms to come under pressure in London were the so-called jobbers on the Stock Exchange, who relied heavily on borrowed money to finance their purchases of equities. As sell orders flooded in, the value of their stocks plunged below the value of their debts, forcing a number (notably Derenberg & Co.) into bankruptcy. Also under pressure were the commercial bill brokers in London, many of whom were owed substantial sums by continental counterparties now unable or unwilling to remit funds. Their difficulties in turn impacted on the acceptance houses (the elite merchant banks), who were first in line if the foreigners defaulted, since they had accepted the bills. If the acceptance houses went bust, the bill brokers would go down with them, and possibly also the larger joint-stock banks, which lent millions every day short-term to the discount market. The joint-stock banks’ decision to call in loans deepened what we would now call the credit crunch.40 As everyone scrambled to sell assets and increase their liquidity, stock prices fell, compromising brokers and others who had borrowed money using shares as collateral. Domestic customers began to fear a banking crisis. Queues formed as people sought to exchange banknotes for gold coins at the Bank of England.41 The effective suspension of London’s role as the hub of international credit helped spread the crisis from Europe to the rest of the world.
Perhaps the most remarkable feature of the crisis of 1914 was the closure of the world’s major stock markets for periods of up to five months. The Vienna market was the first to close (on 27 July). By 30 July all the continental European exchanges had shut their doors. The next day London and New York felt compelled to follow suit. Although a belated settlement day went ahead smoothly on 18 November, the London Stock Exchange did not reopen until 4 January 1915. Nothing like this had happened since its foundation in 1773.42 The New York market reopened for limited trading (bonds for cash only) on 28 November, but wholly unrestricted trading did not resume until 1 April 1915.43 Nor were stock exchanges the only markets to close in the crisis. Most US commodity markets had to suspend trading, as did most European foreign exchange markets. The London Royal Exchange, for example, remained shut until 17 September.44 It seems likely that, had the markets not closed, the collapse in prices would have been as extreme as in 1929, if not worse. No act of state-sponsored terrorism has had greater financial consequences than Gavrilo Princip’s in 1914.
The near-universal adoption of the gold standard had once been seen as a comfort to investors. In the crisis of 1914, however, it tended to exacerbate the liquidity crisis. Some central banks (notably the Bank of England) actually raised their discount rates in the initial phase of the crisis, in a vain attempt to deter foreigners from repatriating their capital and thereby draining gold reserves. The adequacy of gold reserves in the event of an emergency had been hotly debated before the war; indeed, these debates are almost the only evidence that the financial world had given any thought whatever to the trouble that lay ahead.45 Yet the gold standard was no more rigidly binding than today’s informal dollar pegs in Asia and the Middle East; in the emergency of war, a number of countries, beginning with Russia, simply suspended the gold convertibility of their currencies. In both Britain and the United States formal convertibility was maintained, but it could have been suspended if that had been thought necessary. (The Bank of England was granted suspension of the 1844 Bank Act, which imposed a fixed relationship between the Bank’s reserve and note issue, but this was not equivalent to suspending specie payments, which could easily be maintained with a lower reserve.) In each case, the crisis prompted the issue of emergency paper money: in Britain, £1 and 10s Treasury notes; in the United States, the emergency currency that banks were authorized to issue under the Aldrich-Vreeland Act of 1908.46 Then, as now, the authorities reacted to a liquidity crisis by printing money.
Nor were these the only measures deemed necessary. In London the bank holiday of Monday 3 August was extended until Thursday the 6th. Payments due on bills of exchange were postponed for a month by royal proclamation. A month-long moratorium on all other payments due (except wages, taxes, pensions and the like) was rushed onto the statute books. (These moratoria were later extended until, respectively, 19 October and 4 November.) On 13 August the Chancellor of the Exchequer gave the Bank of England a guarantee that, if the Bank discounted all approved bills accepted before 4 August (when war was declared) ‘without recourse against the holders’, then the Treasury would bear the cost of any loss the Bank might incur. This amounted to a government rescue of the discount houses; it opened the door for a massive expansion of the monetary base, as bills poured into the Bank to be discounted. On 5 September assistance was also extended to the acceptance houses.47 Arrangements varied from country to country, but the expedients were broadly similar and quite unprecedented in their scope: temporary closures of markets; moratoria on debts; emergency money issued by governments; bailouts for the most vulnerable institutions. In all these respects, the authorities were prepared to go much further than they had previously gone in purely financial crises. As had happened during the previous ‘world war’ (against revolutionary and then Napoleonic France more than a century before), the war of 1914 was understood to be a special kind of emergency, justifying measures that would have been inconceivable in peacetime, including (as one Conservative peer put it) ‘the release of the bankers . . . from all liability’.48
The closure of the stock market and the intervention of the authorities to supply liquidity almost certainly averted a catastrophic fire-sale of assets. The London stock market was already down 7 per cent on the year when trading was suspended, and that was before the fighting had even begun. Fragmentary data on bond transactions (conducted literally in the street during the period of stock market closure) give a sense of the losses investors had to contemplate, despite the authorities’ efforts. By the end of 1914, Russian bonds were down 8.8 per cent, British consols 9.3 per cent, French rentes 13.2 per cent and Austrian bonds 23 per cent.49 In the words of Patrick Shaw-Stewart of Barings, it was ‘one of the most terrific things London had been up against since finance existed’.50 This, however, was merely the beginning. Contrary to the ‘short war’ illusion (which was more widespread in financial than in military circles), there were another four years of carnage still to go, and an even longer period of financial losses. Any investor unwise or patriotic enough to hang on to gilt-edged securities (consols or the new UK War Loans) would have suffered inflation-adjusted losses of -46 per cent by 1920. Even the real returns on British equities were negative (-27 per cent).51 Inflation in France and hyperinflation in Germany inflicted even more severe punishment on anyone rash enough to maintain large franc or Reichsmark balances. By 1923 holders of all kinds of German securities had lost everything, though subsequent revaluation legislation restored some of their original capital. Those with substantial holdings of Austrian, Hungarian, Ottoman and Russian bonds also lost heavily - even when these were gold-denominated - as the Habsburg, Ottoman and Romanov empires fell apart under the stresses of total war. The losses were especially sudden and severe in the case of Russian bonds, on which the Bolshevik regime defaulted in February 1918. By the time this happened, Russian 5 per cent bonds of the 1906 vintage were trading at below 45 per cent of their face value. Hopes of some kind of settlement with foreign creditors lingered on throughout the 1920s, by which time the bonds were trading at around 20 per cent of par. By the 1930s they were all but worthless.52
Despite the best efforts of the bankers, who indefatigably floated loans for such unpromising purposes as the payment of German reparations, it proved impossible to restore the old order of free capital mobility between the wars. Currency crises, defaults, arguments about reparations and war debts and then the onset of the Depression led more and more countries to impose exchange and capital controls as well as protectionist tariffs and other trade restrictions, in a vain bid to preserve national wealth at the expense of international exchange. On 19 October 1921, for example, the Chinese government declared bankruptcy, and proceeded to default on nearly all China’s external debts. It was a story repeated all over the world, from Shanghai to Santiago, from Moscow to Mexico City. By the end of the 1930s, most states in the world, including those that retained political freedoms, had imposed restrictions on trade, migration and investment as a matter of course. Some achieved near-total economic self-sufficiency (autarky), the ideal of a de-globalized society. Consciously or unconsciously, all governments applied in peacetime the economic restrictions that had first been imposed between 1914 and 1918.
The origins of the First World War became clearly visible - as soon as it had broken out. Only then did the Bolshevik leader Lenin see that war was an inevitable consequence of imperialist rivalries. Only then did American liberals grasp that secret diplomacy and the tangle of European alliances were the principal causes of conflict. The British and French naturally blamed the Germans; the Germans blamed the British and French. Historians have been refining and modifying these arguments for more than ninety years now. Some have traced the origins of the war back to the naval race of the mid 1890s; others to events in the Balkans after 1907. So why, when its causes today seem so numerous and so obvious, were contemporaries so oblivious of Armageddon until just days before its advent? One possible answer is that their vision was blurred by a mixture of abundant liquidity and the passage of time. The combination of global integration and financial innovation had made the world seem reassuringly safe to investors. Moreover, it had been thirty-four years since the last major European war, between France and Germany, and that had been mercifully short. Geopolitically, of course, the world was anything but a safe place. Any reader of the Daily Mail could see that the European arms race and imperial rivalry might one day lead to a major war; indeed, there was an entire subgenre of popular fiction based on imaginary Anglo-German wars. Yet the lights in financial markets were flashing green, not red, until the very eve of destruction.
There may be a lesson here for our time, too. The first era of financial globalization took at least a generation to achieve. But it was blown apart in a matter of days. And it would take more than two generations to repair the damage done by the guns of August 1914.
Economic Hit Men
From the 1930s until the late 1960s, international finance and the idea of globalization slumbered - some even considered it dead.53 In the words of the American economist Arthur Bloomfield, writing in 1946:
It is now highly respectable doctrine, in academic and banking circles alike, that a substantial measure of direct control over private capital movements, especially of the so-called hot money varieties, will be desirable for most countries not only in the years immediately ahead but also in the long run as well . . . This doctrinal volte-face represents a widespread disillusionment resulting from the destructive behaviour of these movements in the interwar years.54
At Bretton Woods, in New Hampshire’s White Mountains, the soon-to-be-victorious Allies met in July 1944 to devise a new financial architecture for the post-war world. In this new order, trade would be progressively liberalized, but restrictions on capital movements would remain in place. Exchange rates would be fixed, as under the gold standard, but now the anchor - the international reserve currency - would be the dollar rather than gold (though the dollar itself would notionally remain convertible into gold, vast quantities of which sat, immobile but totemic, in Fort Knox). In the words of Keynes, one of the key architects of the Bretton Woods system, ‘control of capital movements’ would be ‘a permanent feature of the post-war system’.55 Even tourists could be prevented from going abroad with more than a pocketful of currency if governments felt unable to make their currencies convertible. When capital sums did flow across national borders, they would go from government to government, like the Marshall Aidba that helped revive devastated Western Europe between 1948 and 1952.56 The two guardian ‘sisters’ of this new order were to be established in Washington, DC, the capital of the ‘free world’: the International Monetary Fund and the International Bank for Reconstruction and Development, later (in combination with the International Development Association) known as the World Bank. In the words of current World Bank President Robert Zoellick, ‘The IMF was supposed to regulate exchange rates. What became the World Bank was supposed to help rebuild countries shattered by the war. Free trade would be revived. But free capital flows were out.’ Thus, for the next quarter century, did governments resolve the so-called ‘trilemma’, according to which a country can choose any two out of three policy options:
1. full freedom of cross-border capital movements;
2. a fixed exchange rate;
3. an independent monetary policy oriented towards domestic objectives.57
Under Bretton Woods, the countries of the Western world opted for 2 and 3. Indeed, the trend was for capital controls to be tightened rather than loosened as time went on. A good example is the Interest Equalization Act passed by the United States in 1963, which was expressly designed to discourage Americans from investing in foreign securities.
Yet there was always an unsustainable quality to the Bretton Woods system. For the so-called Third World, the various attempts to replicate the Marshall Plan through government-to-government aid programmes proved deeply disappointing. Over time, American aid in particular became hedged around with political and military conditions that were not always in the best interests of the recipients. Even if that had not been the case, it is doubtful that capital injections of the sort envisaged by American economists like Walt Rostowbb were the solution to the problems of most African, Asian and Latin American economies. Much aid was disbursed to poor countries, but the greater part of it was either wasted or stolen. 58 In so far as Bretton Woods did succeed in generating new wealth by expediting the recovery of Western Europe, it could only frustrate those investors who saw the risk in excessive home bias. And, in so far as it allowed countries to subordinate monetary policy to the goal of full employment, it created potential conflicts even between options 2 and 3 of the trilemma. In the late 1960s, US public sector deficits were negligible by today’s standards, but large enough to prompt complaints from France that Washington was exploiting its reserve currency status in order to collect seigniorage from America’s foreign creditors by printing dollars, much as medieval monarchs had exploited their monopoly on minting to debase the currency. The decision of the Nixon administration to sever the final link with the gold standard (by ending gold convertibility of the dollar) sounded the death knell for Bretton Woods in 1971.59 When the Arab-Israeli War and the Arab oil embargo struck in 1973, most central banks tended to accommodate the price shock with easier credit, leading to precisely the inflationary crisis that General de Gaulle’s adviser Jacques Rueff had feared.60
With currencies floating again and offshore markets like the Eurobond market flourishing, the 1970s saw a revival of non-governmental capital export. In particular, there was a rush by Western banks to recycle the rapidly growing surpluses of the oil-exporting countries. The region where the bankers chose to lend the Middle Eastern petrodollars was an old favourite. Between 1975 and 1982, Latin America quadrupled its borrowings from foreigners from $75 billion to more than $315 billion. (Eastern European countries also entered the capital debt market, a sure sign of the Communist bloc’s impending doom.) Then, in August 1982, Mexico declared that it would no longer be able to service its debt. An entire continent teetered on the verge of declaring bankruptcy. Yet the days had gone when investors could confidently expect their governments to send a gunboat when a foreign government misbehaved. Now the role of financial policing had to be played by two unarmed bankers, the International Monetary Fund and the World Bank. Their new watch-word became ‘conditionality’: no reforms, no money. Their preferred mechanism was the structural adjustment programme. And the policies the debtor countries had to adopt became known as the Washington Consensus, a wish-list of ten economic policies that would have gladdened the heart of a British imperial administrator a hundred years before.bc Number one was to impose fiscal discipline to reduce or eliminate deficits. The tax base was to be broadened and tax rates lowered. The market was to set interest and exchange rates. Trade was be liberalized and so, crucially, were capital flows. Suddenly ‘hot’ money, which had been outlawed at Bretton Woods, was hot again.
To some critics, however, the World Bank and the IMF were no better than agents of the same old Yankee imperialism. Any loans from the IMF or World Bank, it was claimed, would simply be used to buy American goods from American firms - often arms to keep ruthless dictators or corrupt oligarchies in power. The costs of ‘structural adjustment’ would be borne by their hapless subjects. And Third World leaders who stepped out of line would soon find themselves in trouble. These became popular arguments, particularly in the 1990s, when anti-globalization protests became regular features of international gatherings. When articulated on placards or in rowdy chants by crowds of well-fed Western youths such notions are relatively easy to dismiss. But when similar charges are levelled at the Bretton Woods institutions by former insiders, they merit closer scrutiny.
When he was chief economist of the Boston-based company Chas. T. Main, Inc., John Perkins claims he was employed to ensure that the money lent to countries like Ecuador and Panama by the IMF and World Bank would be spent on goods supplied by US corporations. ‘Economic hit men’ like himself, according to Perkins, ‘were trained . . . to build up the American empire . . . to create situations where as many resources as possible flow into this country, to our corporations, and our governments’:
This empire, unlike any other in the history of the world, has been built primarily through economic manipulation, through cheating, through fraud, through seducing people into our way of life, through the economic hit men . . . My real job . . . was giving loans to other countries, huge loans, much bigger than they could possibly repay . . . So we make this big loan, most of it comes back to the United States, the country is left with debt plus lots of interest, and they basically become our servants, our slaves. It’s an empire. There’s no two ways about it. It’s a huge empire.61
According to Perkins’s book, The Confessions of an Economic Hit Man, two Latin American leaders, Jaime Roldós Aguilera of Ecuador and Omar Torrijos of Panama, were assassinated in 1981 for opposing what he calls ‘that fraternity of corporate, government, and banking heads whose goal is global empire’.62 There is, admittedly, something about his story that seems a little odd. It is not as if the United States had lent much money to Ecuador and Panama. In the 1970s the totals were just $96 million and $197 million, less than 0.4 per cent of total US grants and loans. And it is not as if Ecuador and Panama were major customers for the United States. In 1990 they accounted for, respectively, 0.17 per cent and 0.22 per cent of total US exports. Those do not seem like figures worth killing for. As Bob Zoellick puts it, ‘The IMF and the World Bank lend money to countries in crisis, not countries that offer huge opportunities to corporate America.’
Nevertheless, the charge of neo-imperialism refuses to go away. According to Nobel prize-winning economist Joseph Stiglitz, who was chief economist at the World Bank between 1997 and 2000, the IMF in the 1980s not only ‘champion[ed] market supremacy with ideological fervour’ but also ‘took a rather imperialistic view’ of its role. Moreover, Stiglitz argues, ‘many of the policies that the IMF has pushed, in particular premature capital market liberalization, have contributed to global instability . . . Jobs have been systematically destroyed . . . [because] the influx of hot money into and out of the country that so frequently follows after capital market liberalization leaves havoc in its wake . . . Even those countries that have experienced some limited growth have seen the benefits accrue to the well-off, and especially the very well-off.’63 In his animus against the IMF (and Wall Street), Stiglitz overlooks the fact that it was not just those institutions that came to favour a return to free capital movements in the 1980s. It was actually the Organization for Economic Cooperation and Development that blazed the liberalizing trail, followed (after the conversion of French socialists like Jacques Delors and Michel Camdessus) by the European Commission and European Council. Indeed, there was arguably a Paris Consensus before there was a Washington Consensus (though in many ways it was building on a much earlier Bonn Consensus in favour of free capital markets).64In London, too, Margaret Thatcher’s government pressed ahead with unilateral capital account liberalization without any prompting from the United States. Rather, it was the Reagan administration that followed Thatcher’s lead.

Jaime Roldós Aguilera of Ecuador . . .

. . . and Omar Torrijos of Panama: Allegedly
victims of the ‘economic hit men’
Stiglitz’s biggest complaint against the IMF is that it responded the wrong way to the Asian financial crisis of 1997, lending a total of $95 billion to countries in difficulty, but attaching Washington Consensus-style conditions (higher interest rates, smaller government deficits) that actually served to worsen the crisis. It is a view that has been partially echoed by, among others, the economist and columnist Paul Krugman.65 There is no doubting the severity of the 1997-8 crisis. In countries such as Indonesia, Malaysia, South Korea and Thailand there was a very severe recession in 1998. Yet neither Stiglitz nor Krugman offers a convincing account of how the East Asian crisis might have been better managed on standard Keynesian lines, with currencies being allowed to float and government deficits to rise. In the acerbic words of an open letter to Stiglitz by Kenneth Rogoff, who became chief economist at the IMF after the Asian crisis:
Governments typically come to the IMF for financial assistance when they are having trouble finding buyers for their debt and when the value of their money is falling. The Stiglitzian prescription is to raise . . . fiscal deficits, that is, to issue more debt and to print more money. You seem to believe that if a distressed government issues more currency, its citizens will suddenly think it more valuable. You seem to believe that when investors are no longer willing to hold a government’s debt, all that needs to be done is to increase the supply and it will sell like hot cakes. We at the - no, make that we on planet Earth - have considerable experience suggesting otherwise. We earthlings have found that when a country in fiscal distress tries to escape by printing more money, inflation rises, often uncontrollably . . . The laws of economics may be different in your part of the gamma quadrant, but around here we find that when an almost bankrupt government fails to credibly constrain the time profile of its fiscal deficits, things generally get worse instead of better.66
Nor is it clear that Malaysia’s temporary imposition of capital controls in 1997 made a significant difference to the economy’s performance during the crisis. Krugman at least acknowledges that the East Asian financial institutions, which had borrowed short-term in dollars but lent out long-term in local currency (often to political cronies), bore much of the responsibility for the crisis. Yet his talk of a return of Depression economics now looks overdone. There never was a Depression in East Asia (except perhaps in Japan, which could hardly be portrayed as a victim of IMF malfeasance). After the shock of 1998 all the economies affected returned swiftly to rapid growth - growth so rapid, indeed, that by 2004 some commentators were wondering if the ‘two sisters’ of Bretton Woods any longer had a role to play as international lenders. 67
In truth, the 1980s saw the rise of an altogether different kind of economic hit man, far more intimidating than those portrayed by Perkins precisely because they never even had to contemplate resorting to violence to achieve their objective. To this new generation, making a hit meant making a billion dollars on a single successful speculation. As the Cold War drew to its close, these hit men had no real interest in pursuing an American imperialist agenda; on the contrary, their stated political inclinations were more often liberal than conservative. They did not work for public sector institutions like the IMF or the World Bank. On the contrary, they ran businesses that were entirely private, to the extent that they were not even quoted on the stock market. These businesses were called hedge funds, which we first encountered as an alternative form of risk manager in Chapter 4. Like the rise of China, the even more rapid rise of the hedge funds has been one of the biggest changes the global economy has witnessed since the Second World War. As pools of lightly regulated,bd highly mobile capital, hedge funds exemplify the return of hot money after the big chill that prevailed between the onset of the Depression and the end of Bretton Woods. And the acknowledged capo dei capi of the new economic hit men has been George Soros. It was no coincidence that when the Malaysian prime minister Mahathir bin Mohamad wanted to blame someone other than himself for the currency crisis that struck the ringgit in August 1997, it was Soros rather than the IMF that he called ‘a moron’.

George Soros: hedge fund cupo dei capi
and master of reflexivity
A Hungarian Jew by birth, though educated in London, George Soros emigrated to the United States in 1956. There he made his reputation as an analyst and then head of research at the venerable house of Arnhold & S. Bleichroeder (a direct descendant of the Berlin private bank that had once managed Bismarck’s money).68 As might be expected of a Central European intellectual - who named his fund the Quantum Fund in honour of the physicist Werner Heisenberg’s Uncertainty Principle - Soros regards himself as more a philosopher than a hit man. His book The Alchemy of Finance (1987) begins with a bold critique of the fundamental assumptions of economics as a subject, reflecting the influence on his early intellectual development of the philosopher Karl Popper.69 According to Soros’s pet theory of ‘reflexivity’, financial markets cannot be regarded as perfectly efficient, because prices are reflections of the ignorance and biases, often irrational, of millions of investors. ‘Not only do market participants operate with a bias’, Soros argues, ‘but their bias can also influence the course of events. This may create the impression that markets anticipate future developments accurately, but in fact it is not present expectations that correspond to future events but future events that are shaped by present expectations.’70 It is the feedback effect - as investors’ biases affect market outcomes, which in turn change investors’ biases, which again affect market outcomes - that Soros calls reflexivity. As he puts it in his most recent book:
. . . markets never reach the equilibrium postulated by economic theory. There is a two-way reflexive connection between perception and reality which can give rise to initially self-reinforcing but eventually self-defeating boom-bust processes, or bubbles. Every bubble consists of a trend and a misconception that interact in a reflexive manner .71
Originally devised to hedge against market risk with short positions,be which make money if a security goes down in price, a hedge fund provided the perfect vehicle for Soros to exploit his insights about reflexive markets. Soros knew how to make money from long positions too, it should be emphasized - that is, from buying assets in the expectation of future prices rises. In 1969 he was long real estate. Three years later he backed bank stocks to take off. He was long Japan in 1971. He was long oil in 1972. A year later, when these bets were already paying off, he deduced from Israeli complaints about the quality of US-supplied hardware in the Yom Kippur War that there would need to be some heavy investment in America’s defence industries. So he went long defence stocks too.72 Right, right, right, right and right again. But Soros’s biggest coups came from being right about losers, not winners: for example, the telegraph company Western Union in 1985, as fax technology threatened to destroy its business, as well as the US dollar, which duly plunged after the Group of Five’s Plaza accord of 22 September 1985.73 That year was an annus mirabilis for Soros, who saw his fund grow by 122 per cent. But the greatest of all his shorts proved to be one of the most momentous bets in British financial history.
I admit I have a vested interest in the events of Wednesday 16 September 1992. In those days, moonlighting as a newspaper leader writer while I was a junior lecturer at Cambridge, I became convinced that speculators like Soros could beat the Bank of England if it came to a showdown. It was simple arithmetic: a trillion dollars being traded on foreign exchange markets every day, versus the Bank’s meagre hard currency reserves. Soros reasoned that the rising costs of German reunification would drive up interest rates and hence the Deutschmark. This would make the Conservative government’s policy of shadowing the German currency - formalized when Britain had joined the European Exchange Rate Mechanism (ERM) in 1990 - untenable. As interest rates rose, the British economy would tank. Sooner or later, the government would be forced to withdraw from the ERM and devalue the pound. So sure was Soros that the pound would drop that he ultimately bet $10 billion, more than the entire capital of his fund, on a series of transactions whereby he effectively borrowed sterling in the UK and invested in German currency at the pre-16 September price of around 2.95 Deutschmarks). 74 I was equally sure that the pound would be devalued, though all I had to bet was my credibility. As it happened, the City editor of the newspaper I wrote for disagreed. That night, having been given something of a browbeating at the leader writers’ morning conference with the editor, I went to the English National Opera, to hear Verdi’s The Force of Destiny. It proved a highly appropriate choice. Someone announced at the interval that Britain had withdrawn from the ERM. How we all cheered - and no one louder than me (except possibly George Soros). His fund made more than a billion dollars as sterling slumped - ultimately by as much as 20 per cent - allowing Soros to repay the sterling he had borrowed but at the new lower exchange rate and to pocket the difference. And that trade accounted for just 40 per cent of the year’s profits.75

The force of destiny: Chancellor the Exchequer Norman Lamont
announces sterling’s exit from the European Exchange Rate
Mechanism, 16 September 1992
The success of the Quantum Fund was staggering. If someone had invested $100,000 with Soros when he established his second fund (Double Eagle, the earlier name of Quantum) in 1969 and had reinvested all the dividends, he would have been worth $130 million by 1994, an average annual growth rate of 35 per cent .76 The essential differences between the old and the new economic hit men were twofold: first, the cold, calculating absence of loyalty to any particular country - the dollar and the pound could both be shorted with impunity; second, the sheer scale of the money the new men had to play with. ‘How big a position do you have?’ Soros once asked his partner Stanley Druckenmiller. ‘One billion dollars,’ Druckenmiller replied. ‘You call that a position?’ was Soros’s sardonic retort. 77 For Soros, if a bet looked as good as his bet against the pound in 1992, then maximum leverage should be applied to it. His hedge fund pioneered the technique of borrowing from investment banks in order to take speculative long or short positions far in excess of the fund’s own capital.
Yet there were limits to the power of the hedge funds. At one level, Soros and his ilk had proved that the markets were mightier than any government or central bank. But that was not the same as saying that the hedge funds could always command the markets. Soros owed his success to a gut instinct about the direction of the ‘electronic herd’. However, even his instincts (often signalled by a spasm of back pain) could sometimes be wrong. Reflexivity, as he himself acknowledges, is a special case; it does not rule the markets every week of the year. What, then, if instincts could somehow be replaced by mathematics? What if you could write an infallible algebraic formula for double-digit returns? On the other side of the world - indeed on the other side of the financial galaxy - it seemed as if that formula had just been discovered.
Short-Term Capital Mismanagement
Imagine another planet - a planet without all the complicating frictions caused by subjective, sometimes irrational human beings. One where the inhabitants were omniscient and perfectly rational; where they instantly absorbed all new information and used it to maximize profits; where they never stopped trading; where markets were continuous, frictionless and completely liquid. Financial markets on this planet would follow a ‘random walk’, meaning that each day’s prices would be quite unrelated to the previous day’s but would reflect all the relevant information available. The returns on the planet’s stock market would be normally distributed along the bell curve (see Chapter 3), with most years clustered closely around the mean, and two thirds of them within one standard deviation of the mean. In such a world, a ‘six standard deviation’ sell-off would be about as common as a person shorter than one and a half feet in our world. It would happen only once in four million years of trading.78 This was the planet imagined by some of the most brilliant financial economists of modern times. Perhaps it is not altogether surprising that it turned out to look like Greenwich, Connecticut, one of the blandest places on Earth.
In 1993 two mathematical geniuses came to Greenwich with a big idea. Working closely with Fisher Black of Goldman Sachs, Stanford’s Myron Scholes had developed a revolutionary new theory of pricing options. Now he and a third economist, Harvard Business School’s Robert Merton, hoped to turn the so-called Black-Scholes model into a money-making machine. The starting point of their work as academics was the long-established financial instrument known as an option contract, which (as we saw in Chapter 4) works like this. If a particular stock is worth, say, $100 today and I believe that it may be worth more in the future, say, in a year’s time, $200, it would be nice to have the option to buy it at that future date for, say, $150. If I am right, I make a profit. If not, well, it was only an option, so forget about it. The only cost was the price of the option, which the seller pockets. The big question was what that price should be.
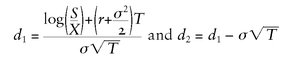
‘Quants’ - the mathematically skilled analysts with the PhDs - sometimes refer to the Black Scholes model of options pricing as a black box. It is worth taking a look inside this particular box. The question, to repeat, is how to price an option to buy a particular stock on a particular date in the future, taking into account the unpredictable movement of the price of the stock in the intervening period. Work out that option price accurately, rather than just relying on guesswork, and you truly deserve the title ‘rocket scientist’. Black and Scholes reasoned that the option’s value depended on five variables: the current market price of the stock (S), the agreed future price at which the option could be exercised (X), the expiration date of the option (T), the risk-free rate of return in the economy as a whole (r) and - the crucial variable - the expected annual volatility of the stock, that is, the likely fluctuations of its price between the time of purchase and the expiration date (σ - the Greek letter sigma). With wonderful mathematical wizardry, Black and Scholes reduced the price of the option (C) to this formula:
![]()
where

Feeling a bit baffled? Can’t follow the algebra? To be honest, I am baffled too. But that was just fine by the quants. To make money from this insight, they needed markets to be full of people who didn’t have a clue how to price options but relied instead on their (seldom accurate) gut instincts. They also needed a great deal of computing power, a force which had been transforming the financial markets since the early 1980s. All they required now was a partner with some market savvy and they could make the leap from the faculty club to the trading floor. Struck down by cancer, Fisher Black could not be that partner. Instead, Merton and Scholes turned to John Meriwether, the former head of the bond arbitrage group at Salomon Brothers, who had made his first fortune out of the Savings and Loans meltdown of the late 1980s. The firm they created in 1994 was called Long-Term Capital Management.
It seemed like the dream team: two of academia’s hottest quants teaming up with the ex-Salomon superstar plus a former Federal Reserve vice-chairman, David Mullins, another ex-Harvard professor, Eric Rosenfeld, and a bevy of ex-Salomon traders (Victor Haghani, Larry Hilibrand and Hans Hufschmid). The investors LTCM attracted to its fund were mainly big banks, among them the New York investment bank Merrill Lynch and the Swiss private bank Julius Baer. A latecomer to the party was another Swiss bank, UBS.79 The minimum investment was $10 million. As compensation, the partners would take 2 per cent of the assets under management and 25 per cent of the profits (most hedge funds now charge 2 and 20, rather than 2 and 25).80 Investors would be locked in for three years before they could exit. And another Wall Street firm, Bear Stearns, would stand ready to execute whatever trades Long-Term wanted to make.
In its first two years, the fund managed by LTCM made mega-bucks, posting returns (even after its hefty fees) of 43 and 41 per cent. If you had invested $10 million in Long-Term in March 1994, it would have been worth just over $40 million four years later. By September 1997 the fund’s net capital stood at $6.7 billion. The partners’ stakes had increased by a factor of more than ten. Admittedly, to generate these huge returns on an ever-growing pool of assets under management, Long-Term had to borrow, like George Soros. This additional leverage allowed them to bet more than just their own money. At the end of August 1997 the fund’s capital was $6.7 billion, but the debt-financed assets on its balance sheet amounted to $126.4 billion, a ratio of assets to capital of 19 to 1.81 By April 1998 the balance sheet had reached $134 billion. When we talk about being highly geared, most academics are referring to their bicycles. But when Merton and Scholes did so, they meant Long-Term was borrowing most of the money it traded with. Not that this pile of debt scared them. Their mathematical models said there was next to no risk involved. For one thing, they were simultaneously pursuing multiple, uncorrelated trading strategies: around a hundred of them, with a total of 7,600 different positions.82 One might go wrong, or even two. But all these different bets just could not go wrong simultaneously. That was the beauty of a diversified portfolio - another key insight of modern financial theory, which had been formalized by Harry M. Markowitz, a Chicago-trained economist at the Rand Corporation, in the early 1950s, and further developed in William Sharpe’s Capital Asset Pricing Model (CAPM).83
Long-Term made money by exploiting price discrepancies in multiple markets: in the fixed-rate residential mortgage market; in the US, Japanese and European government bond markets; in the more complex market for interest rate swapsbf - anywhere, in fact, where their models spotted a pricing anomaly, whereby two fundamentally identical assets or options had fractionally different prices. But the biggest bet the firm put on, and the one most obviously based on the Black-Scholes formula, was selling long-dated options on American and European stock markets; in other words giving other people options which they would exercise if there were big future stock price movements. The prices these options were fetching in 1998 implied, according to the Black-Scholes formula, an abnormally high future volatility of around 22 per cent per year. In the belief that volatility would actually move towards its recent average of 10-13 per cent, Long-Term piled these options high and sold them cheap. Banks wanting to protect themselves against higher volatility - for example, another 1987-style stock market sell-off - were happy buyers. Long-Term sold so many such options that some people started calling it the Central Bank of Volatility.84 At peak, they had $40 million riding on each percentage point change in US equity volatility.85
Sounds risky? The quants at Long-Term didn’t think so. Among Long-Term’s selling points was the claim that they were a market neutral fund - in other words they could not be hurt by a significant movement in any of the major stock, bond or currency markets. So-called dynamic hedging allowed them to sell options on a particular stock index while avoiding exposure to the index itself. What was more, the fund had virtually no exposure to emerging markets. It was as if Long-Term really was on another planet, far from the mundane ups and downs of terrestrial finance. Indeed, the partners started to worry that they weren’t taking enough risks. Their target was a risk level corresponding to an annual variation (standard deviation) of 20 per cent of their assets. In practice, they were operating at closer to half that (meaning that their assets were fluctuating up and down by no more than 10 per cent).86 According to the firm’s Value at Risk models, it would take a ten-sigma (in other words, ten standard deviation) event to cause the firm to lose all its capital in a single year. But the probability of such an event, the quants calculated, was I in 1024 - effectively zero.87
In October 1997, as if to prove that LTCM really was the ultimate Brains Trust, Merton and Scholes were awarded the Nobel Prize in economics. So self-confident were they and their partners that on 31 December 1997 they returned $2.7 billion to outside investors (strongly implying that they would much rather focus on investing their own money).88 It seemed as if intellect had triumphed over intuition, rocket science over risk-taking. Equipped with their magic black box, the partners at LTCM seemed poised to make fortunes beyond even George Soros’s wildest dreams. And then, just five months later, something happened that threatened to blow the lid right off the Nobel winners’ black box. For no immediately apparent reason, equity markets dipped, so that volatility went up instead of down. And the higher volatility went - it hit 27 in June, more than double the Long-Term projection - the more money was lost. May 1998 was Long-Term’s worst month ever: the fund dropped by 6.7 per cent. But this was just the beginning. In June it was down 10.1 per cent. And the less the fund’s assets were worth, the higher its leverage - the ratio of debt to capital - rose. In June it hit 31 to 1.89
In evolution, big extinctions tend to be caused by outside shocks, like an asteroid hitting the earth. A large meteor struck Greenwich in July 1998, when it emerged that Salomon Smith Barney (as Salomon Brothers had been renamed following its takeover by Travelers) was closing down its US bond arbitrage group, the place where Meriwether had made his Wall Street reputation, and an outfit that had been virtually replicating LTCM’s trading strategies. Clearly, the firm’s new owners did not like the losses they had been seeing since May. Then, on Monday 17 August 1998, that was followed by a giant asteroid - not from outer space, but from one of earth’s flakiest emerging markets as, weakened by political upheaval, declining oil revenues and a botched privatization, the ailing Russian financial system collapsed. A desperate Russian government was driven to default on its debts (including rouble-denominated domestic bonds), fuelling the fires of volatility throughout the world’s financial markets.90 Coming in the wake of the Asian crisis of the previous year, the Russian default had a contagious effect on other emerging markets, and indeed some developed markets too. Credit spreads blew out.bg Stock markets plunged. Equity volatility hit 29 per cent. At peak it reached 45 per cent, which implied that the indices would move 3 per cent each day for the next five years.91 Now, that just wasn’t supposed to happen, not according to the Long-Term risk models. The quants had said that Long-Term was unlikely to lose more than $45 million in a single day.92 On Friday 21 August 1998, it lost $550 million - 15 per cent of its entire capital, driving its leverage up to 42:1.93 The traders in Greenwich stared, slack-jawed and glassy-eyed, at their screens. It couldn’t be happening. But it was. Suddenly all the different markets where Long-Term had exposure were moving in sync, nullifying the protection offered by diversification. In quant-speak, the correlations had gone to one. By the end of the month, Long-Term was down 44 per cent: a total loss of over $1.8 billion.94
August is usually a time of thin trading in financial markets. Most people are out of town. John Meriwether was on the other side of the world, in Beijing. Dashing home, he and his partners desperately sought a white knight to rescue them. They tried Warren Buffett in Omaha, Nebraska - despite the fact that just months before LTCM had been aggressively shorting shares in Buffett’s company Berkshire Hathaway. He declined. On 24 August they reluctantly sought a meeting with none other than George Soros.95 It was the ultimate humiliation: the quants from Planet Finance begging for a bail-out from the earthling prophet of irrational, unquantifiable reflexivity. Soros recalls that he ‘offered Meriwether $500 million if he could find another $500 million from someone else. It didn’t seem likely . . .’ JP Morgan offered $200 million. Goldman Sachs also offered to help. But others held back. Their trading desks scented blood. If Long-Term was going bust, they just wanted their collateral, not to buy Long-Term’s positions. And they didn’t give a damn if volatility went through the roof. In the end, fearful that Long-Term’s failure could trigger a generalized meltdown on Wall Street, the Federal Reserve Bank of New York hastily brokered a $3.625 billion bail-out by fourteen Wall Street banks.96 But the original investors - who included some of the self-same banks, but also some smaller players like the University of Pittsburgh - had meanwhile seen their holdings cut from $4.9 billion to just $400 million. The sixteen partners were left with $30 million between them, a fraction of the fortune they had anticipated.
What had happened? Why was Soros so right and the giant brains at Long-Term so wrong? Part of the problem was precisely that LTCM’s extraterrestrial founders had come back down to Planet Earth with a bang. Remember the assumptions underlying the Black-Scholes formula? Markets are efficient, meaning that the movement of stock prices cannot be predicted; they are continuous, frictionless and completely liquid; and returns on stocks follow the normal, bell-curve distribution. Arguably, the more traders learned to employ the Black-Scholes formula, the more efficient financial markets would become.97 But, as John Maynard Keynes once observed, in a crisis ‘markets can remain irrational longer than you can remain solvent’. In the long term, it might be true that the world would become more like Planet Finance, always coolly logical. Short term, it was still dear old Planet Earth, inhabited by emotional human beings, capable of flipping suddenly from greed to fear. When losses began to mount, many participants simply withdrew from the market, leaving LTCM with a largely illiquid portfolio of assets that couldn’t be sold at any price. Moreover, this was an ever more integrated Planet Earth, in which a default in Russia could cause volatility to spike all over the world. ‘Maybe the error of Long Term’, mused Myron Scholes in an interview, ‘was . . . that of not realizing that the world is becoming more and more global over time.’ Meriwether echoed this view: ‘The nature of the world had changed, and we hadn’t recognized it.’98 In particular, because many other firms had begun trying to copy Long-Term’s strategies, when things went wrong it was not just the Long-Term portfolio that was hit; it was as if an entire super-portfolio was haemorrhaging.99 There was a herd-like stampede for the exits, with senior managers at the big banks insisting that positions be closed down at any price. Everything suddenly went down at once. As one leading London hedge fund manager later put it to Meriwether: ‘John, you were the correlation.’
There was, however, another reason why LTCM failed. The firm’s value at risk (VaR) models had implied that the loss Long-Term suffered in August was so unlikely that it ought never to have happened in the entire life of the universe. But that was because the models were working with just five years’ worth of data. If the models had gone back even eleven years, they would have captured the 1987 stock market crash. If they had gone back eighty years they would have captured the last great Russian default, after the 1917 Revolution. Meriwether himself, born in 1947, ruefully observed: ‘If I had lived through the Depression, I would have been in a better position to understand events.’100 To put it bluntly, the Nobel prize winners had known plenty of mathematics, but not enough history. They had understood the beautiful theory of Planet Finance, but overlooked the messy past of Planet Earth. And that, put very simply, was why Long-Term Capital Management ended up being Short-Term Capital Mismanagement.
It might be assumed that after the catastrophic failure of LTCM, quantitative hedge funds would have vanished from the financial scene. After all, the failure, though spectacular in scale, was far from anomalous. Of 1,308 hedge funds that were formed between 1989 and 1996, more than a third (36.7 per cent) had ceased to exist by the end of the period. In that period the average life span of a hedge fund was just forty months.101 Yet the very reverse has happened. Far from declining, in the past ten years hedge funds of every type have exploded in number and in the volume of assets they manage. In 1990, according to Hedge Fund Research, there were just over 600 hedge funds managing some $39 billion in assets. By 2000 there were 3,873 funds with $490 billion in assets. The latest figures (for the first quarter of 2008) put the total at 7,601 funds with $1.9 trillion in assets. Since 1998 there has been a veritable stampede to invest in hedge funds (and in the ‘funds of funds’ that aggregate the performance of multiple firms). Where once they were the preserve of ‘high net worth’ individuals and investment banks, hedge funds are now attracting growing numbers of pension funds and university endowments.102 This trend is all the more striking given that the attrition rate remains high; only a quarter of the 600 funds reporting in 1996 still existed at the end of 2004. In 2006, 717 ceased to trade; in the first nine months of 2007, 409.103 It is not widely recognized that large numbers of hedge funds simply fizzle out, having failed to meet investors’ expectations.
The obvious explanation for this hedge fund population explosion is that they perform relatively well as an asset class, with relatively low volatility and low correlation to other investment vehicles. But the returns on hedge funds, according to Hedge Fund Research, have been falling, from 18 per cent in the 1990s to just 7.5 per cent between 2000 and 2006. Moreover, there is increasing scepticism that hedge fund returns truly reflect ‘alpha’ (skill of asset management) as opposed to ‘beta’ (general market movements that could be captured with an appropriate mix of indices).104 An alternative explanation is that, while they exist, hedge funds enrich their managers in a uniquely alluring way. In 2007 George Soros made $2.9 billion, ahead of Ken Griffin of Citadel and James Simons of Renaissance, but behind John Paulson, who earned a staggering $3.7 billion from his bets against subprime mortgages. As John Kay has pointed out, if Warren Buffett had charged investors in Berkshire Hathaway ‘2 and 20’, he would have kept for himself $57 billion of the $62 billion his company has made for its shareholders over the past forty-two years.105 Soros, Griffin and Simons are clearly exceptional fund managers (though surely not more so than Buffett). This explains why their funds, along with other superior performers, have grown enormously over the past decade. Today around 390 funds have assets under management in excess of $1 billion. The top hundred now account for 75 per cent of all hedge fund assets; and the top ten alone manage $324 billion.106 But a quite mediocre conman could make a good deal of money by setting up a hedge fund, taking $100 million off gullible investors and running the simplest possible strategy:
1. He parks the $100 million in one-year Treasury bills yielding 4 per cent.
2. This then allows him to sell for 10 cents on the dollar 100 million covered options, which will pay out if the S&P 500 falls by more than 20 per cent in the coming year.
3. He takes the $10 million from the sale of the options and buys some more Treasury bills, which enables him to sell another 10 million options, which nets him another $1 million.
4. He then takes a long vacation.
5. At the end of the year the probability is 90 per cent that the S&P 500 has not fallen by 20 per cent, so he owes the option-holders nothing.
6. He adds up his earnings - $11 million from the sale of the options plus 4 per cent on the $110 million of T-bills - a handsome return of 15.4 per cent before expenses.
7. He pockets 2 per cent of the funds under management ($2 million) and 20 per cent of the returns above, say, a 4 per cent benchmark, which comes to over $4 million gross.
8. The chances are nearly 60 per cent that the fund will run smoothly on this basis for more than five years without the S&P 500 falling by 20 per cent, in which case he makes $15 million even if no new money comes into his fund, and even without leveraging his positions.107
Could an LTCM-style crisis replay itself today, ten years on - only this time on such a scale, and involving so many such bogus hedge funds, that it would simply be too big to bail out? Are the banks of the Western world now even more exposed to hedge fund losses, and related counterparty risks, than they were in 1998?bh And, if they are, then who will bail them out this time around? The answers to those questions lie not on another planet, but on the other side of this one.
Chimerica
To many, financial history is just so much water under the bridge - ancient history, like the history of imperial China. Markets have short memories. Many young traders today did not even experience the Asian crisis of 1997-8. Those who went into finance after 2000 lived through seven heady years. Stock markets the world over boomed. So did bond markets, commodity markets and derivatives markets. In fact, so did all asset classes - not to mention those that benefit when bonuses are big, from vintage Bordeaux to luxury yachts. But these boom years were also mystery years, when markets soared at a time of rising short-term interest rates, glaring trade imbalances and soaring political risk, particularly in the economically crucial, oil-exporting regions of the world. The key to this seeming paradox lay in China.108
Chongqing, on the undulating banks of the mighty earth-brown River Yangtze, is deep in the heart of the Middle Kingdom, over a thousand miles from the coastal enterprise zones most Westerners visit. Yet the province’s 32 million inhabitants are as much caught up in today’s economic miracle as those in Hong Kong or Shanghai. At one level, the breakneck industrialization and urbanization going on in Chongqing are the last and greatest feat of the Communist planned economy. The thirty bridges, the ten light railways, the countless towerblocks all appear through the smog like monuments to the power of the centralized one-party state. Yet the growth of Chongqing is also the result of unfettered private enterprise. In many ways, Wu Yajun is the personification of China’s newfound wealth. As one of Chongqing’s leading property developers, she is among the wealthiest women in China, worth over $9 billion - the living antithesis of those Scotsmen who made their fortunes in Hong Kong a century ago. Or take Yin Mingsha. Imprisoned during the Cultural Revolution, Mr Yin discovered his true vocation in the early 1990s, after the liberalization of the Chinese economy. In just fifteen years he has built up a $900 million business. Last year his Lifan company sold more than 1.5 million motorcycle engines and bikes; now he is exporting to the United States and Europe. Wu and Yin are just two of more than 345,000 dollar millionaires who now live in China.
Not only has China left its imperial past far behind. So far, the fastest growing economy in the world has also managed to avoid the kind of crisis that has periodically blown up other emerging markets. Having already devalued the renminbi in 1994, and having retained capital controls throughout the period of economic reform, China suffered no currency crisis in 1997-8. When the Chinese wanted to attract foreign capital, they insisted that it take the form of direct investment. That meant that instead of borrowing from Western banks to finance their industrial development, as many other emerging markets did, they got foreigners to build factories in Chinese enterprise zones - large, lumpy assets that could not easily be withdrawn in a crisis. The crucial point, though, is that the bulk of Chinese investment has been financed from China’s own savings (and from the overseas Chinese diaspora). Cautious after years of instability and unused to the panoply of credit facilities we have in the West, Chinese households save an unusually high proportion of their rising incomes, in marked contrast to Americans, who in recent years have saved almost none at all. Chinese corporations save an even larger proportion of their soaring profits. So plentiful are savings that, for the first time in centuries, the direction of capital flow is now not from West to East, but from East to West. And it is a mighty flow. In 2007, the United States needed to borrow around $800 billion from the rest of the world; more than $4 billion every working day. China, by contrast, ran a current account surplus of $262 billion, equivalent to more than a quarter of the US deficit. And a remarkably large proportion of that surplus has ended up being lent to the United States. In effect, the People’s Republic China has become banker to the United States of America.
At first sight, it may seem bizarre. Today the average American earns more than $34,000 a year. Despite the wealth of people like Wu Yajun and Yin Mingsha, the average Chinese lives on less than $2,000. Why would the latter want, in effect, to lend money to the former, who is twenty-two times richer? The answer is that, until recently, the best way for China to employ its vast population was through exporting manufactures to the insatiably spendthrift US consumer. To ensure that those exports were irresistibly cheap, China had to fight the tendency for the Chinese currency to strengthen against the dollar by buying literally billions of dollars on world markets - part of a system of Asian currency pegs that some commentators dubbed Bretton Woods II.109 In 2006 Chinese holdings of dollars almost certainly passed the trillion dollar mark. (Significantly, the net increase of China’s foreign exchange reserves almost exactly matched the net issuance of US Treasury and government agency bonds.) From America’s point of view, meanwhile, the best way of keeping the good times rolling in recent years has been to import cheap Chinese goods. Moreover, by out-sourcing manufacturing to China, US corporations have been able to reap the benefits of cheap labour too. And, crucially, by selling billions of dollars of bonds to the People’s Bank of China, the United States has been able to enjoy significantly lower interest rates than would otherwise have been the case.
Net national savings as a percentage of gross national income, 1970-2006

Welcome to the wonderful dual country of ‘Chimerica’ - China plus America - which accounts for just over a tenth of the world’s land surface, a quarter of its population, a third of its economic output and more than half of global economic growth in the past eight years. For a time it seemed like a marriage made in heaven. The East Chimericans did the saving. The West Chimericans did the spending. Chinese imports kept down US inflation. Chinese savings kept down US interest rates. Chinese labour kept down US wage costs. As a result, it was remarkably cheap to borrow money and remarkably profitable to run a corporation. Thanks to Chimerica, global real interest rates - the cost of borrowing, after inflation - sank by more than a third below their average over the past fifteen years. Thanks to Chimerica, US corporate profits in 2006 rose by about the same proportion above their average share of GDP. But there was a catch. The more China was willing to lend to the United States, the more Americans were willing to borrow. Chimerica, in other words, was the underlying cause of the surge in bank lending, bond issuance and new derivative contracts that Planet Finance witnessed after 2000. It was the underlying cause of the hedge fund population explosion. It was the underlying reason why private equity partnerships were able to borrow money left, right and centre to finance leveraged buyouts. And Chimerica - or the Asian ‘savings glut’, as Ben Bernanke called it110 - was the underlying reason why the US mortgage market was so awash with cash in 2006 that you could get a 100 per cent mortgage with no income, no job or assets.
The subprime mortgage crisis of 2007 was not so difficult to predict, as we have already seen. What was much harder to predict was the way a tremor caused by a spate of mortgage defaults in America’s very own, home-grown emerging market would cause a financial earthquake right across the Western financial system. Not many people understood that defaults on subprime mortgages would destroy the value of exotic new asset-backed instruments like collateralized debt obligations. Not many people saw that, as the magnitude of these losses soared, interbank lending would simply seize up, and that the interest rates charged to issuers of short-term commercial paper and corporate bonds would leap upwards, leading to a painful squeeze for all kinds of private sector borrowers. Not many people foresaw that this credit crunch would cause a British bank to suffer the first run since 1866 and end up being nationalized. Back in July 2007, before the trouble started, one American hedge fund manager had bet me 7 to 1 that there would be no recession in the United States in the next five years. ‘I bet that the world wasn’t going to come to an end,’ he admitted six months later. ‘We lost.’ Certainly, by the end of May 2008, a US recession seemed already to have begun. But the end of the world?
True, it seemed unlikely in May 2008 that China (to say nothing of the other BRICs) would be left wholly unscathed by an American recession. The United States remains China’s biggest trading partner, accounting for around a fifth of Chinese exports. On the other hand, the importance of net exports to Chinese growth has declined considerably in recent years.111 Moreover, Chinese reserve accumulation has put Beijing in the powerful position of being able to offer capital injections to struggling American banks. The rise of the hedge funds was only a part of the story of the post-1998 reorientation of global finance. Even more important was the growth of sovereign wealth funds, entities created by countries running large trade surpluses to manage their accumulating wealth. By the end of 2007 sovereign wealth funds had around $2.6 trillion under management, more than all the world’s hedge funds, and not far behind government pension funds and central bank reserves. According to a forecast by Morgan Stanley, within fifteen years they could end up with assets of $27 trillion - just over 9 per cent of total global financial assets. Already in 2007, Asian and Middle Eastern sovereign wealth funds had moved to invest in Western financial companies, including Barclays, Bear Stearns, Citigroup, Merrill Lynch, Morgan Stanley, UBS and the private equity firms Blackstone and Carlyle. For a time it seemed as if the sovereign wealth funds might orchestrate a global bail-out of Western finance; the ultimate role reversal in financial history. For the proponents of what George Soros has disparaged as ‘market fundamentalism’, here was a painful anomaly: among the biggest winners of the latest crisis were state-owned entities.bi
And yet there are reasons why this seemingly elegant, and quintessentially Chimerican, resolution of the American crisis has failed to happen. Part of the reason is simply that the initial Chinese forays into US financial stocks have produced less than stellar results.bj There are justifiable fears in Beijing that the worst may be yet to come for Western banks, especially given the unknowable impact of a US recession on outstanding credit default swaps with a notional value of $62 trillion. But there is also a serious political tension now detectable at the very heart of Chimerica. For some time, concern has been mounting in the US Congress about what is seen as unfair competition and currency manipulation by China, and the worse the recession gets in the United States, the louder the complaints are likely to grow. Yet US monetary loosening since August 2007 - the steep cuts in the federal funds and discount rates, the various auction and lending ‘facilities’ that have directed $150 billion to the banking system, the underwriting of JP Morgan’s acquisition of Bear Stearns - has amounted to an American version of currency manipulation.112 Since the onset of the American crisis, the dollar has depreciated roughly 25 per cent against the currencies of its major trading partners, including 9 per cent against the renminbi. Because this has coincided with simultaneous demand and supply pressures in nearly all markets for commodities, the result has been a significant spike in the prices of food, fuel and raw materials. Rising commodity prices, in turn, are intensifying inflationary pressures for China, necessitating the imposition of price controls and export prohibitions and encouraging an extraordinary scramble for natural resources in Africa and elsewhere that, to Western eyes, has an unnervingly imperial undertone.113 Maybe, as its name was always intended to hint, Chimerica is nothing more than a chimera - the mythical beast of ancient legend that was part lion, part goat, part dragon.
Perhaps, on reflection, we have been here before. A hundred years ago, in the first age of globalization, many investors thought there was a similarly symbiotic relationship between the world’s financial centre, Britain, and continental Europe’s most dynamic industrial economy. That economy was Germany’s. Then, as today, there was a fine line between symbiosis and rivalry.114 Could anything trigger another breakdown of globalization like the one that happened in 1914? The obvious answer is a deterioration of political relations between the United States and China, whether over trade, Taiwan, Tibet or some other as yet subliminal issue.115 The scenario may seem implausible. Yet it is easy to see how future historians could retrospectively construct plausible chains of causation to explain such a turn of events. The advocates of ‘war guilt’ would blame a more assertive China, leaving others to lament the sins of omission of a weary American titan. Scholars of international relations would no doubt identify the systemic origins of the war in the breakdown of free trade, the competition for natural resources or the clash of civilizations. Couched in the language of historical explanation, a major conflagration can start to seem unnervingly probable in our time, just as it turned out to be in 1914. Some may even be tempted to say that the surge of commodity prices in the period from 2003 until 2008 reflected some unconscious market anticipation of the coming conflict.
One important lesson of history is that major wars can arise even when economic globalization is very far advanced and the hegemonic position of an English-speaking empire seems fairly secure. A second important lesson is that the longer the world goes without a major conflict, the harder one becomes to imagine (and, perhaps, the easier one becomes to start). A third and final lesson is that when a crisis strikes complacent investors it causes much more disruption than when it strikes battle-scarred ones. As we have seen repeatedly, the really big crises come just seldom enough to be beyond the living memory of today’s bank executives, fund managers and traders. The average career of a Wall Street CEO is just over twenty-five years,116 which means that first-hand memories at the top of the US banking system do not extend back beyond 1983 - ten years after the beginning of the last great surge in oil and gold prices. That fact alone provides a powerful justification for the study of financial history.