CHAPTER SIX
![]()
Imperial Coinage: Dating of Imperial coins can be a very precise task, for some emperors used a host of inscriptions which represent their titles or honors. If it is known when these were granted, the date of the piece can be narrowed. In a great many cases this can be done at least to a single year, though sometimes it can be narrowed down to a period of a few months or a few days. However, these titles are only helpful when they appear on the coins, and this is not always the case. Most fundamental of all are Caesar (CAES) and Augustus (AVG), which indicated the offices of heir and emperor. A brief outline follows.
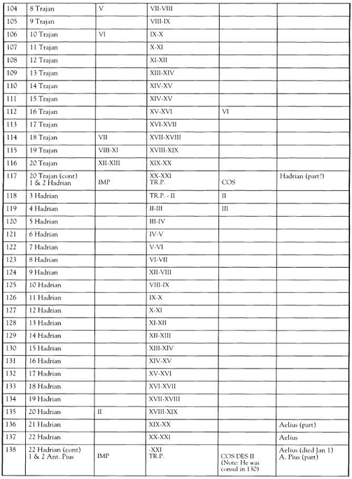
Imperatorial Acclamation: This was generally taken upon the emperorís accession, and was sometimes augmented with subsequent acclamations based on military conquests which occured during the reign. It is typically shown as IMP, and additional acclamations are denoted by numerals (example: IMP VII = the seventh Imperatorial acclamation).
Tribunician Power: The tribuniciae potestas was the veto power of the tribunes over legislation, a governmental weapon of great power of similar level as Proconsular Imperium was in the provinces. It gave the emperor total control over the senate, and, as such, the office was always held by the reigning emperor. The office is usually abbreviated TR P, with each renewal indicated by numerals (example: TR P XXVII = the twenty-seventh renewal of the tribunician power).
Consulship: Another useful tool for dating coins, the consulship was the highest office in the Republic, and remained the highest office in the senate during Imperial times. Though the consulship was regularly held by high-ranking senators, it was also held by the emperor or his heirs when they wished to do so. It is usually abbreviated as COS, and its subsequent renewals are indicated as those of the Imperatorial acclamation and tribunician power. When the consulship had been granted for the forthcoming year, it was sometimes presented: COS DES or COS DESIG, or if it is not the first, COS II DES III (meaning, currently in the second, and designated for a third.)
Honorary Titles: Some of the most commonly awarded titles were for military victories. When the emperor conquered a foreign people, a compound of their name which denotes ìvictory over Öî would be given to him, such as Germanicus, Parthicus, Britannicus, etc. Other common titles are the Pontifex Maximus (the office of high priest, usually abbreviated P M or PONT MAX), Pater Patriae (meaning father of his country, usually abbreviated P P), Pius and Felix (meaning ëdutifulí and ëhappy,í and often adopted jointly, as P F = Pius Felix). There are a number of other titles which were held less commonly.
Vows: Later in the Empire the commemoration of vows made by emperors became a frequent part of reverse designs. These essentially expressed thanks for the years which the emperor had already reigned, and expressed hope that a designated number more would follow. Once that number was achieved, a new vow would be made. Although these vows are not always a reliable tool for dating (for they often are struck prior to the year they celebrate), sometimes they can narrow the time frame. They are especially helpful since they occur in the later period, when lengthy titles had largely been dropped from the obverse inscriptions, (example: VOT X MVLT XX = ten years achieved, vows for ten more undertaken). This might also be inscribed VOTIS X MVLTIS XX, or VOTIS X ET XX, or VOTIS X SIC XX (with sic meaning ëthusí). Alternatively, if the coin celebrates an expected ten-year anniversary, it might read VOTIS DECENNALIBVS.
Provincial Coinage: In addition to their principal use in forming words, the letters of the Greek and Latin alphabets had numeric values. On provincial coins these letters, especially from the Greek alphabet, were used to indicate the year in which a coin was struck. Such dates were recorded in one of two manners: by era or by regnal year. Some commonly used eras are: the Seleucid, which began in 312 B.C.; the Pompeian which began in 64 B.C.; the Caesarean, which began in 49 B.C. (although sometimes in 48 or 47 B.C.); and the Actian, which began in 31/30 B.C.
The ëregnal yearí was the standard system used at Alexandria, and was reckoned according to a fixed timetable beginning August 29 of each year. The date of the emperorís accession would be considered as part of ëyear one,í whether it occured on August 28 (with only one day before the regnal year officially ended) or December 15, or whatever date. Thus, if an emperor came to the throne very shortly before August 29, it might be impractical to strike coins bearing regnal year one, and so his inaugural issue would be dated ëyear two,í even though he might have been ruling for a short time. Family members usually issued coins bearing his regnal years.
The date year was prefaced either by the abbreviation L (a symbol used to indicate year in Ptolemaic times and originally found on papyrii), or by the Greek word for year ETOYC or ETOY∑ (often abbreviated as ET or E). An example would be L KA, meaning ëyear 24 of the emperors reign,í from which the actual date can easily be determined from the year in which that emperor came to the throne. On other occasions the dates are spelled explicitly in Greek form: 3 = TPITOY, 4 = TETAPTOY, 9 = ENATOY, 10 = AEKATOY, 13 = TPICKAIΔEKA, etc. A table of the Greek alphabet and the numerical equivalents of the letters is presented below.

Note: The Xi (Ξ) often looks like a Sigma (∑); the Zeta often takes the form I. The numbers 11 through 19 are composed by grouping I with the appropriate digit (IΔ = 1 4 for example).

Note: The regnal years at Alexandria began on August 29 of each year, and continued through August 28 of the following year. When shown on this table, the year indicated is the one which began on August 29 of the year stated. In some cases two regnal years are shown concurrently: (example: ë1 & 2 Vespasianí appears in the row designated for the year 69. The ë1í represents the regnal year 68/69, of which he reigned only in the portion in 69, and the ë2í represents the regnal year which actually began in August of 69 and carried over into 70). (C) = Caesar.










